• Предмет: Математика
  • Автор: Elfabop
  • Вопрос задан 7 лет назад

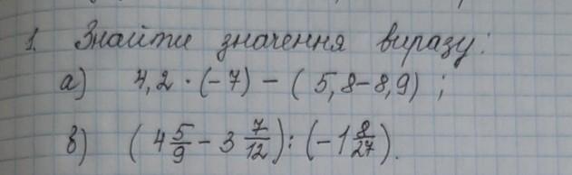
Даю 70 баллов помогите пж​

Приложения:

Ответы

Ответ дал: StarTrek009
0

Ответ:

1203

Пошаговое объяснение:

Вроде правильно.


Elfabop: а можешь расписать?
Вас заинтересует