• Предмет: Физика
  • Автор: makasimgoncaruk0
  • Вопрос задан 7 лет назад

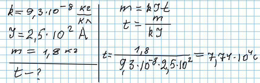
Скільки часу тривав електроліз, якщо при силі струму 250 А на катоді виділилося 1,8 кг
алюмінію?
СРОЧНО ДАЮ 100

Ответы

Ответ дал: Ivannkka
3

Вибач, що догори дригом

Приложения:
Ответ дал: zybkov1950
1

Відповідь: 7,74·10⁴ с

Пояснення:

Приложения:
Вас заинтересует