• Предмет: Геометрия
  • Автор: innamisenko53
  • Вопрос задан 7 лет назад

СРОЧНО ОЧЕНЬ
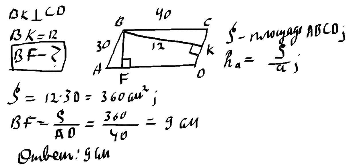
Сторони паралелограма дорівнюють 40 см і 30 см, а висота, проведена до меншої сторони, дорівнює 12 см. Знайдіть другу висоту.
НУЖНО РЕШЕНИЕ И РИСУНОК ПОЖАЛУЙСТА ​


IUV: автор запитання - спамер
innamisenko53: аххахаха,что за фигню ты пишешь
IUV: ти просто ще не сильно мене достав своїми порушеннями. ти звичайний спамер, але с часом твій аккаунт видалять
innamisenko53: ага,как скажешь
IUV: знову у вас відємна кількість балів.
це те що ви насправді заробили своїми відповідями
IUV: будете нормально допомогати іншим - перестану перевіряти ваші відповіді

Ответы

Ответ дал: theFLASH221b
6

Ответ:

9 см

Объяснение:

Приложения:

theFLASH221b: я думав, якщо допоможу-перестане спамити)
IUV: цей вже не вперше спамить. я його вже вдруге намагаюсь присоромити
innamisenko53: что за срачь в комментах
IUV: почекай трохи, я надіслав повідомлення модераторам.
можливо тоді ти зміниш своє ставлення до сайту
innamisenko53: делай как хочешь
IUV: найменше що ти можеш зробить - це вибачитись і не писати спам в подальшому
innamisenko53: не на что извенятся
innamisenko53: за*
IUV: лови бан
innamisenko53: ок
Вас заинтересует