• Предмет: Алгебра
  • Автор: rostyslavusyp
  • Вопрос задан 7 лет назад

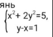
Розв'яжіть систему рівнянь

Приложения:

Ответы

Ответ дал: karinaromanuk4
0

Ответ:

(x1,y1) = ( \frac{ - 2 +  \sqrt{13} }{3}, \frac{1 +  \sqrt{13} }{3} )

(x2,y2) = ( \frac{ - 2 -  \sqrt{13} }{3}), \frac{1 -  \sqrt{13} }{3})

Вас заинтересует