• Предмет: Математика
  • Автор: prokofievillya
  • Вопрос задан 7 лет назад

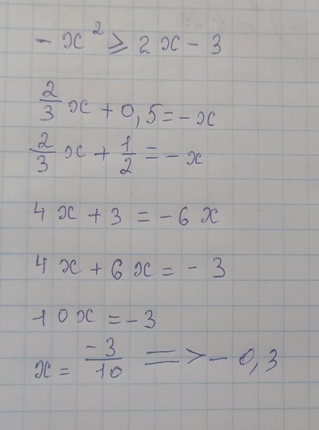
розв'яжи рівняння а)⅔x+0,5=-x​


stolkovskayatanya: да

Ответы

Ответ дал: spxcxkkkk
1

Ответ:

2/3х+х=-0,5

5/3х=-5/10

х=-5/10*3/5

х=-3/10

х=-0,3

Ответ дал: stolkovskayatanya
1

Ответ:

Привіт, відповідь на фото ❤️.

Приложения:

stolkovskayatanya: а ты из России или с Украины ?
prokofievillya: с України
stolkovskayatanya: я тоже
prokofievillya: клас
prokofievillya: ладно удачі пока)))
stolkovskayatanya: пока
stolkovskayatanya: дякую
stolkovskayatanya: за найкращу відповідь
prokofievillya: будь ласка)
stolkovskayatanya: )))
Вас заинтересует