• Предмет: Математика
  • Автор: gfjytfrur76
  • Вопрос задан 7 лет назад

РАСПИСАТЬ ОБЕЗАТЕЛЬНО ДАЮ 25 БАЛЛОВ (если что я в 6 классе)

Приложения:

Ответы

Ответ дал: DaniaKalitenko
1

Ответ:

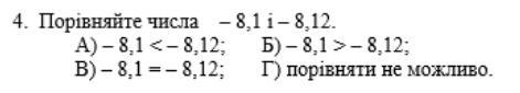
Вариант а потому что 8,1 меньше 8,12

Вас заинтересует