• Предмет: Алгебра
  • Автор: Аноним
  • Вопрос задан 7 лет назад

Допоможіть Срочно
Распишить або зробіть фото

Приложения:

Ответы

Ответ дал: Universalka
1

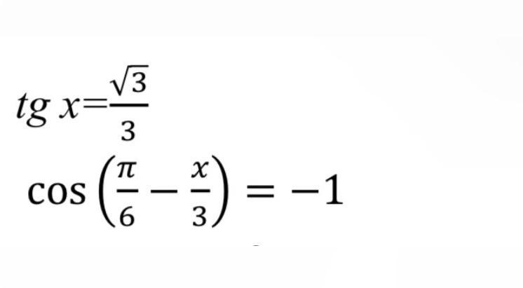
\displaystyle\bf\\1)\\\\tgx=\frac{\sqrt{3} }{3} \\\\x=arctg\frac{\sqrt{3} }{3} +\pi n,n\in Z\\\\\boxed{x=\frac{\pi }{6} +\pi n,n\in Z}\\\\\\2)\\\\Cos\Big(\frac{\pi }{6} -\frac{x}{3} \Big)=-1\\\\\\\frac{\pi }{6} -\frac{x}{3} =\pi +2\pi n,n\in Z\\\\\\-\frac{x}{3} =\pi -\frac{\pi }{6} +2\pi n,n\in Z\\\\\\-\frac{x}{3}=\frac{5\pi }{6} +2\pi n,n\in Z\\\\\\x=-\frac{5\pi }{2} +6\pi n,n\in Z


swiftkeyiswiftkeyi38: помогите с гемотрии
Аноним: Где вопрос?
Аноним: Есть инста?
Вас заинтересует