• Предмет: Алгебра
  • Автор: DexsmoS
  • Вопрос задан 7 лет назад

Помогите пожайлуста !!

Приложения:

Ответы

Ответ дал: NNNLLL54
1

Ответ:

Метод замены переменной .

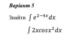
1)\ \ \displaystyle \int e^{2-4x}\, dx=\Big[\ t=2-4x\ ,\ dt=-4\, dx\ \Big]=-\frac{1}{4}\int e^{t}\, dt=-\dfrac{1}{4}\cdot e^{t}+C=\\\\\\=-\dfrac{1}{4}\cdot e^{2-4x}+C

2)\ \ \displaystyle \int 2x\cdot cos(x^2)\, dx=\Big[\ t=x^2\ ,\ dt=2x\, dx\ \Big]=\int cost\, dt=sint+C=\\\\\\=sin(x^2)+C


korolivskijizomrud: Можешь пожалуйста ответить на последний вопрос в профиле
Вас заинтересует