• Предмет: Математика
  • Автор: оршг
  • Вопрос задан 7 лет назад

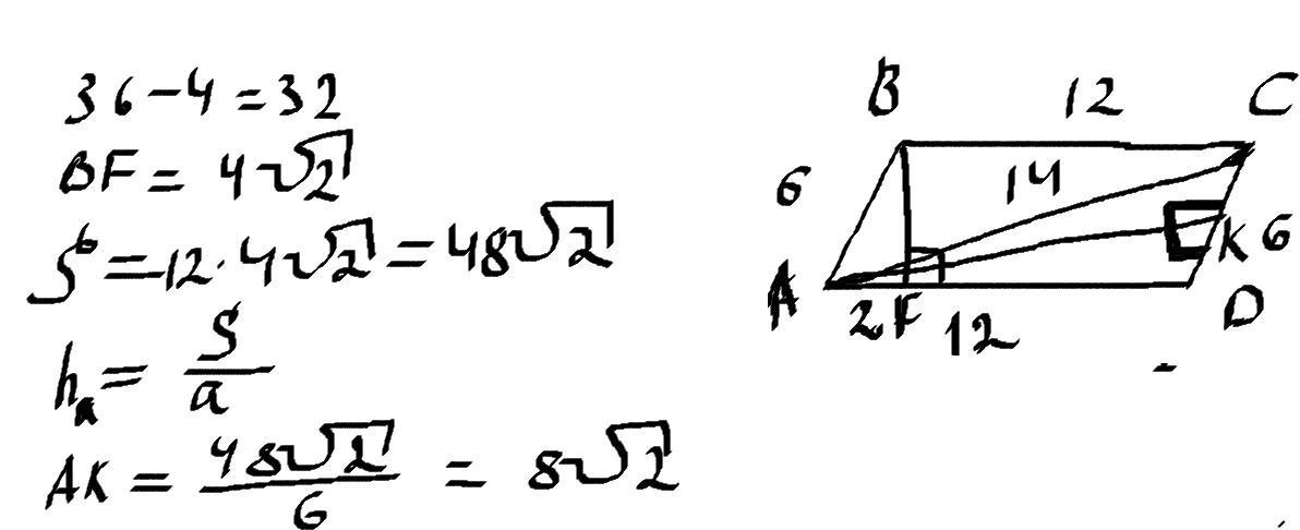
Дано 2 стороны параллелограмма 6 и 12 см, большая диагональ равна 14, найти высоту проведённую к меньшей стороне

Ответы

Ответ дал: theFLASH221b
0

Ответ:

8\sqrt{2}

Пошаговое объяснение:

Приложения:

оршг: Как вы посчитали, что "AF" = 2? И вы провели высоту из острого угла?
Вас заинтересует