• Предмет: Математика
  • Автор: anna10kovalenko05
  • Вопрос задан 7 лет назад

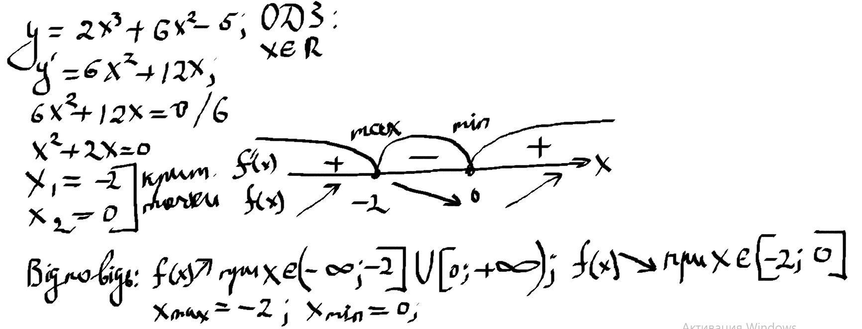
Знайти проміжки зростання і спадання та екстремуму функції: y=2x³+6x²-5

Ответы

Ответ дал: theFLASH221b
0

Ответ:

Пошаговое объяснение:

Приложения:
Вас заинтересует