• Предмет: Математика
  • Автор: lissenok2087
  • Вопрос задан 7 лет назад

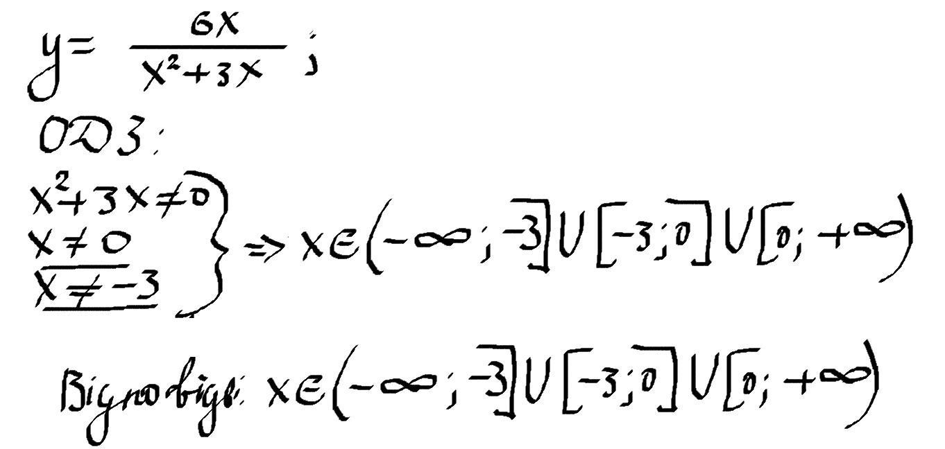
знайти область визначеня функції y=6x/x²+3x

Ответы

Ответ дал: theFLASH221b
0

Ответ:

Пошаговое объяснение:

Приложения:
Вас заинтересует