• Предмет: Геометрия
  • Автор: Tunaaaaa
  • Вопрос задан 7 лет назад

8клас.Будь ласка, одне завданнячко допоможіть вирішити (5)

Приложения:

Ответы

Ответ дал: theFLASH221b
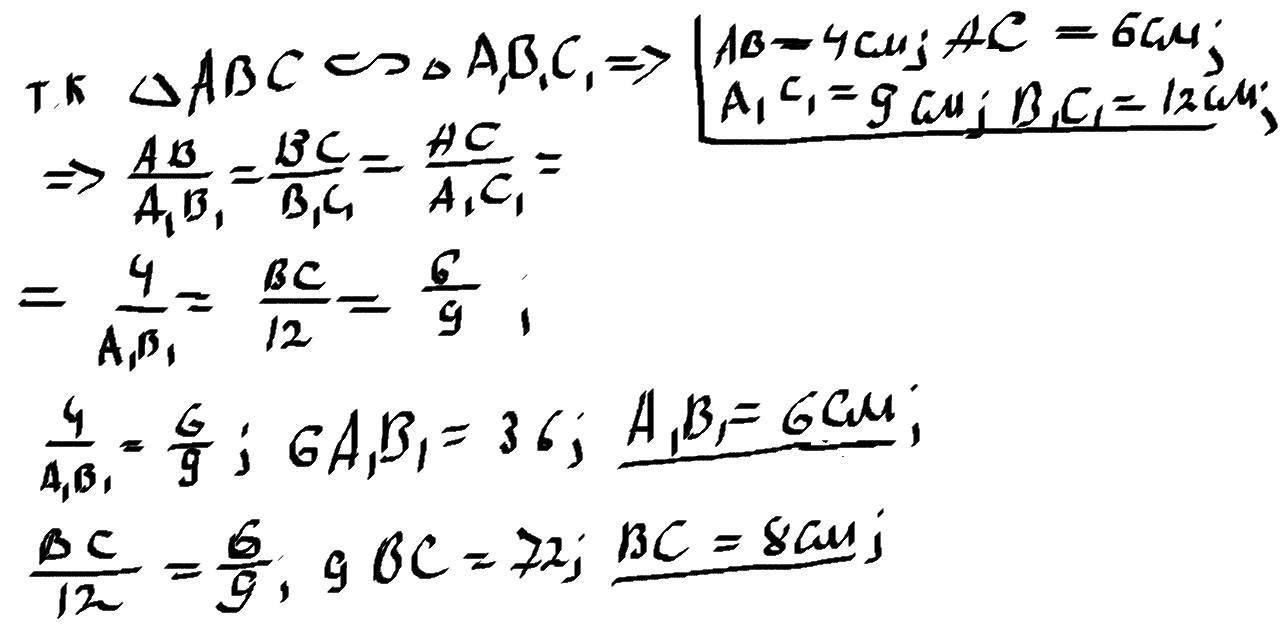
1

Ответ:

A1B1=6 см;

BC=8см;

Объяснение:

Приложения:

Tunaaaaa: Спасибі!!
theFLASH221b: натисніть "краща відповідь", якщо допоміг)
Ответ дал: olgaua64
1

Відповідь:

Пояснення:

коефіцієнт подібності k=AC/A1C1=6/9=2/3

Тому A1B1=AB/k=4×3/2=6 см

BC=B1C1×k=12×2/3=8 см


Tunaaaaa: Велике дякую!
olgaua64: :)
Вас заинтересует