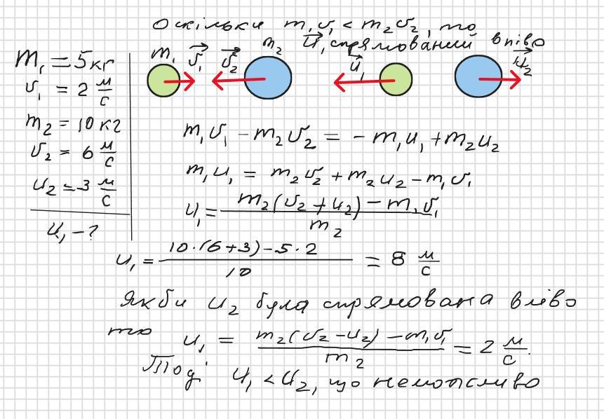
Дві кулі масами 5кг та 10кг рухаються назустріч одна одній зі швидкостями 2м/с та 6м/с. Яка швидкість легшої кулі після удару, якщо важча рухатиметься зі швидкістю 3м/с ? Куди рухатиметься легша куля?
❤❤❤❤❤❤❤❤❤Очень прошу помочь, даю 180 БАЛЛОВ (этот же вопрос в профиле!)
Ответы
Ответ дал:
1
Відповідь: 8 м/с, легша куля рухатиметься в протилежному до початкового напрямку
Пояснення:Закон збереження імпульсу в проекції на вісь х, яка спрямована на рисунку вправо
Приложения:

Вас заинтересует
2 года назад
2 года назад
2 года назад
2 года назад