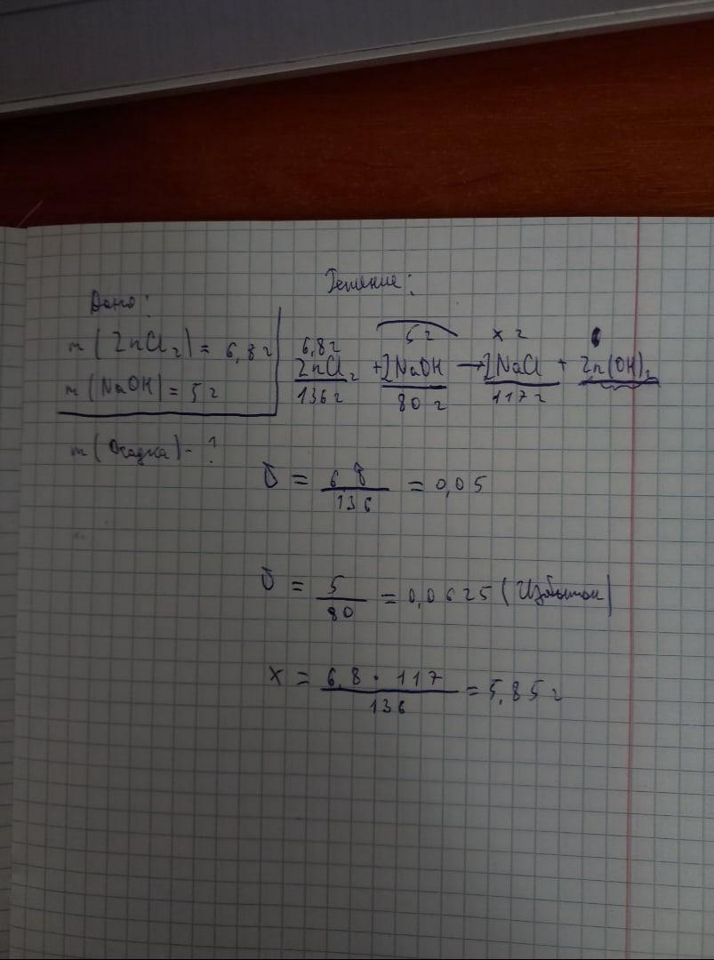
На цинк хлорид масою 6,8 г подіяли натрій гідроксидом масою 5 г. Яка маса осаду
при цьому утвориться?
Ответы
Ответ дал:
1
Ответ:
Надеюсь помог!)
Объяснение:
Приложения:

Вас заинтересует
2 года назад
2 года назад
2 года назад
8 лет назад
9 лет назад