Ответы
Ответ дал:
0
Ответ:
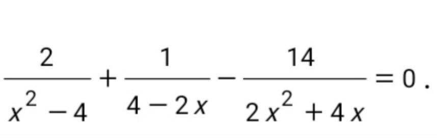
х будет ровно-14,скрины решение я скинул
Приложения:



Вас заинтересует
2 года назад
2 года назад
2 года назад
2 года назад
9 лет назад