!!!ТЕРМІНОВО!!!Будь ласка, допоможіть з завданнями до контрольної роботи, мені їх треба завтра здати
Приложения:

Ответы
Ответ дал:
1
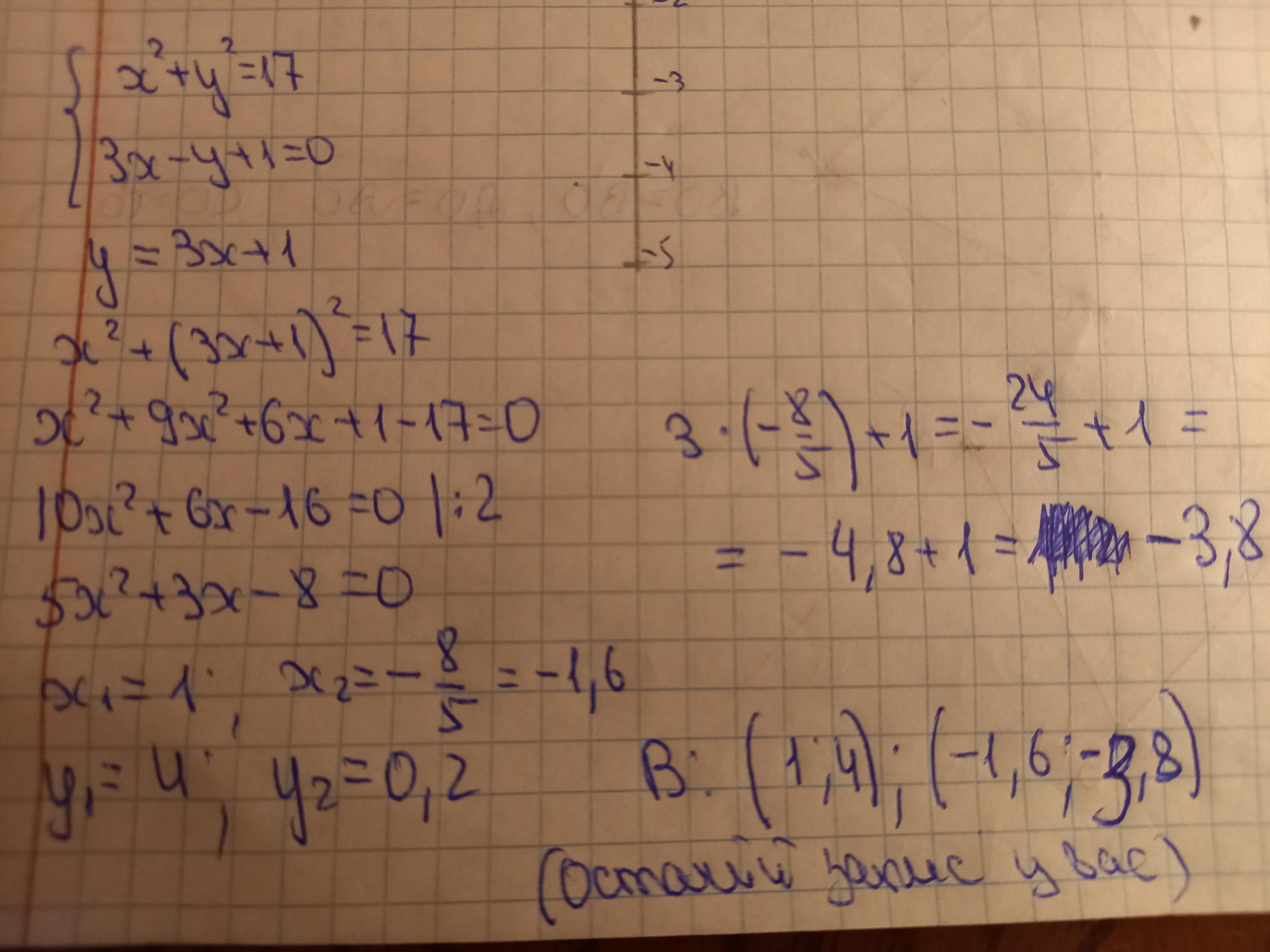
Відповідь:
Пояснення:
фото
Приложения:

korolivskijizomrud:
Можешь пожалуйста ответить на последние вопросы в профиле
Вас заинтересует
2 года назад
2 года назад
8 лет назад
8 лет назад
9 лет назад