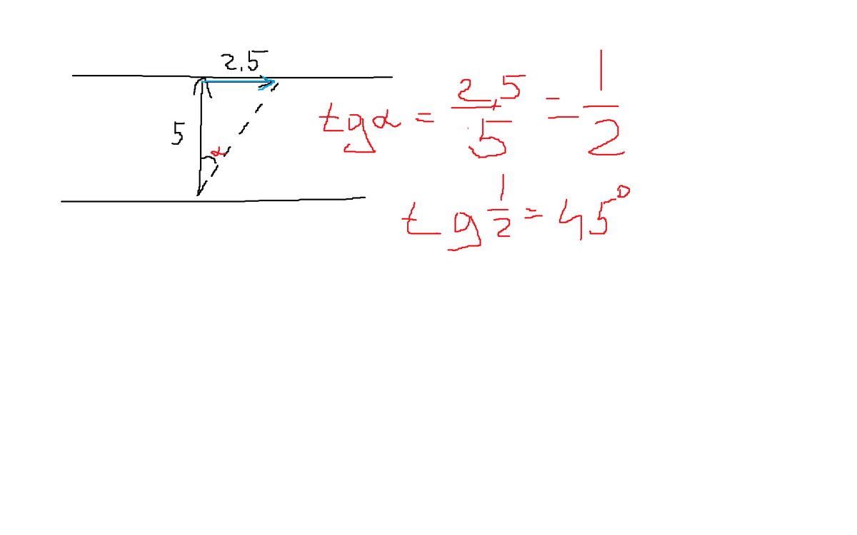
Скорость лодки в стоячей воде v'=5 ,а скорость течения v0=2,5 м/с. Под каким углом к линии перпендикулярной берегу,следует направить лодку,чтобы она пересекла реку по кратчайшему пути?
timajursinov:
брат выручи реши
Ответы
Ответ дал:
2
Не знаю на сколько это правильно, но я решил геометрическим способом, я мог бы объяснить словами но так как я мастер паинта..)
Приложения:

Вас заинтересует
2 года назад
2 года назад
2 года назад
2 года назад
7 лет назад
7 лет назад