ДАМ 60 БАЛІВ
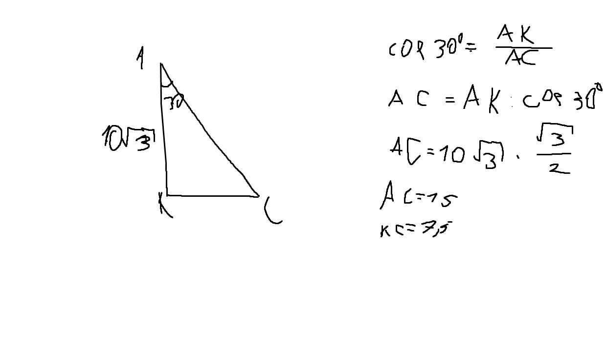
Обчисли другий катет і гіпотенузу прямокутного трикутника,
якщо катет AK= 10√3 дм і ∠A= 30°
Ответы
Ответ дал:
0
Ответ:гипотенуза = 15; катет = 7,5
Объяснение:
Приложения:

Вас заинтересует
2 года назад
2 года назад
8 лет назад