• Предмет: Математика
  • Автор: vladuka228
  • Вопрос задан 7 лет назад

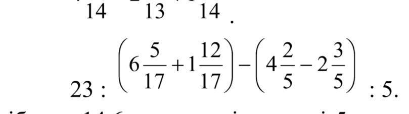
Допоможіть пжжжжжжжжжжжж

Приложения:

Ответы

Ответ дал: glebmasiuk123
1

Пошаговое объяснение:

7 \times \frac{17}{17}    - 1 \times \frac{4}{5}  = 6 \times \frac{1}{5}

Вас заинтересует