• Предмет: Математика
  • Автор: NomadAL
  • Вопрос задан 7 лет назад

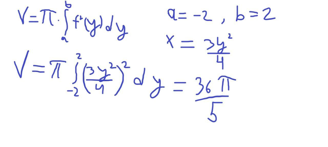
Обчислити об’єм тіла, отриманого обертанням фігури Ф навколо вказаної осі координат:

Приложения:

Ответы

Ответ дал: ivankostyrin
1

Ответ:

36π/

Пошаговое объяснение:

Приложения:
Вас заинтересует