• Предмет: Алгебра
  • Автор: vikasurman1
  • Вопрос задан 7 лет назад

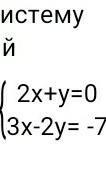
Решить систему уравнений ​

Приложения:

Ответы

Ответ дал: merbayanbayeva
0

Ответ:

а можно полностью

Объяснение:

пожалуйста

Ответ дал: petrenkotaisia7
0

2х+у=0 | ×2

3х-2у= -7

4х+2у=0

3х-2у= -7

4х+2у+3х-2у= -7

7х= -7

х= - 1

2х+у=0

2×(-1)+у=0

-2+у=0

у=2

Відповідь: (-1;2)

Вас заинтересует