• Предмет: Алгебра
  • Автор: Nudaparolzadil
  • Вопрос задан 7 лет назад

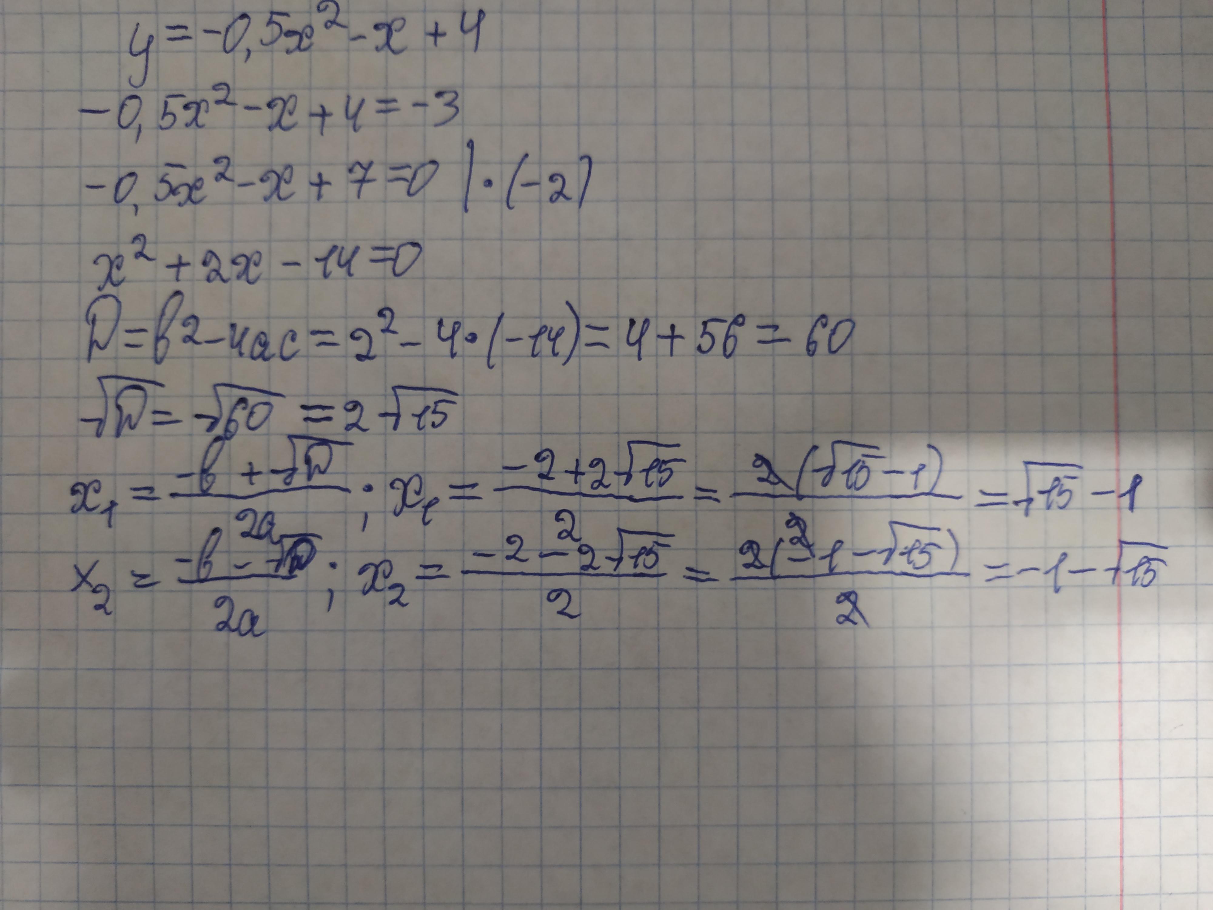
Знайти значення х, при яких значення фукції у=-0.5x^2-x+4 дорівнює -3

Ответы

Ответ дал: Max1531
0

Ответ: Відповідь на фото

Объяснение:

Приложения:
Вас заинтересует