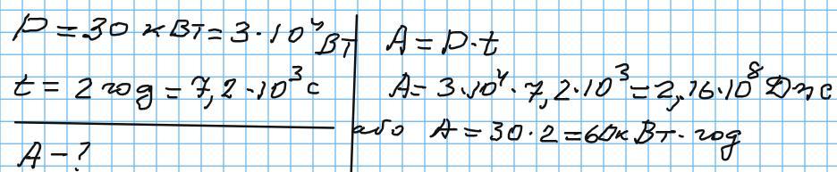
Потужність трактора становить 30кВт. Яку механічну роботу виконає трактор впродовж 2 год роботи?
Ответы
Ответ дал:
1
Відповідь: 2,16·10⁸ Дж
Пояснення:
Приложения:
Вас заинтересует
2 года назад
2 года назад
3 года назад
3 года назад
8 лет назад
8 лет назад
10 лет назад