Ответы
Ответ дал:
1
Ответ:
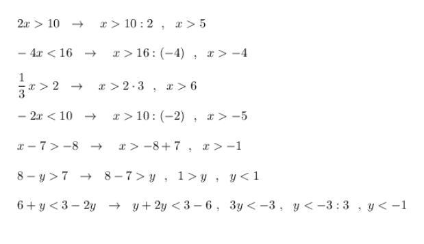
При делении неравенства на отрицательное число знак неравенства меняется на противоположный .
Приложения:

dfgddffxx:
помогите пожалуйста
Вас заинтересует
2 года назад
2 года назад
8 лет назад
9 лет назад