Ответы
Ответ дал:
0
Ответ:
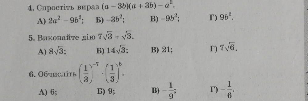
відповідь до всіх завдань на фото
Приложения:

Ответ дал:
1
Ответ:вот
Объяснение:
Приложения:

Вас заинтересует
2 года назад
2 года назад
2 года назад
8 лет назад
8 лет назад
9 лет назад
https://znanija.com/task/49677153?utm_source=android&utm_medium=share&utm_campaign=question