Ответы
Ответ дал:
1
Цифра в *…* это я ставлю степень, если что
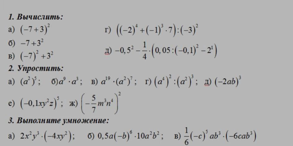
1. а)(-7+3)*2*=(-4)*2*=16
б)-7+3*2*=-7+9=2
в)(-7)*2*+3*2*=49+9=58
г)=1 (прости там слишком много писать)
д)=-1 (также)
2. а) =а*10*
б) =а*12*
в) =а*19*•а*14*=а*33*
г) =а*8*:а*6*=а*2*
д) =16а*3*b*3*
е) =-0,00001х*5*у*10*z*5*
ж) = 25/49 (это дробь я так пишу)m*6*n*8*
3. а) =-8х*3*у*5*
б) =5а*3*b*8*
в) =а*2*b*6*c*6*
Здесь все правильно, не переживай. Можешь поставить звёздочки ответу и "Лучший ответ"?
1. а)(-7+3)*2*=(-4)*2*=16
б)-7+3*2*=-7+9=2
в)(-7)*2*+3*2*=49+9=58
г)=1 (прости там слишком много писать)
д)=-1 (также)
2. а) =а*10*
б) =а*12*
в) =а*19*•а*14*=а*33*
г) =а*8*:а*6*=а*2*
д) =16а*3*b*3*
е) =-0,00001х*5*у*10*z*5*
ж) = 25/49 (это дробь я так пишу)m*6*n*8*
3. а) =-8х*3*у*5*
б) =5а*3*b*8*
в) =а*2*b*6*c*6*
Здесь все правильно, не переживай. Можешь поставить звёздочки ответу и "Лучший ответ"?
GlebZhidkov22:
Может г и д распишешь тут пожалуцста
д не правильно будет 0.5
Не поставлю
Вас заинтересует
2 года назад
3 года назад
3 года назад
8 лет назад