• Предмет: Алгебра
  • Автор: downwon64
  • Вопрос задан 7 лет назад

СРОЧНО ДАЮ 40 БАЛЛОВ!!!!!

Решите систему уравнений:

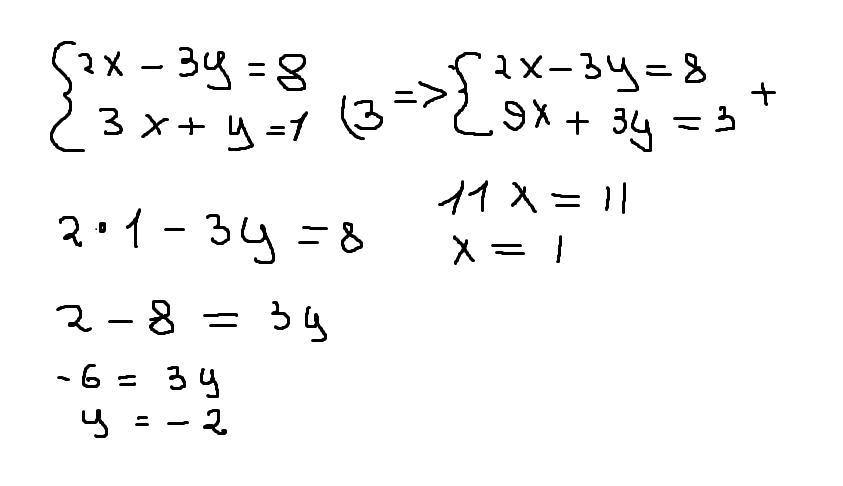
2x − 3y = 8, 3x + y = 1.

Ответы

Ответ дал: melnikartem17
2

Ответ:

x = 1 y = -2

Объяснение:

Приложения:

downwon64: Спасибо большое
Вас заинтересует