• Предмет: Алгебра
  • Автор: prokopetsannaart
  • Вопрос задан 7 лет назад

Решите систему уравнений графическим способом или способом
сложения. В ответ запишите пару чисел, соответствующих решению.
1)
{x + y = 6,
{2x-y = -3
2)
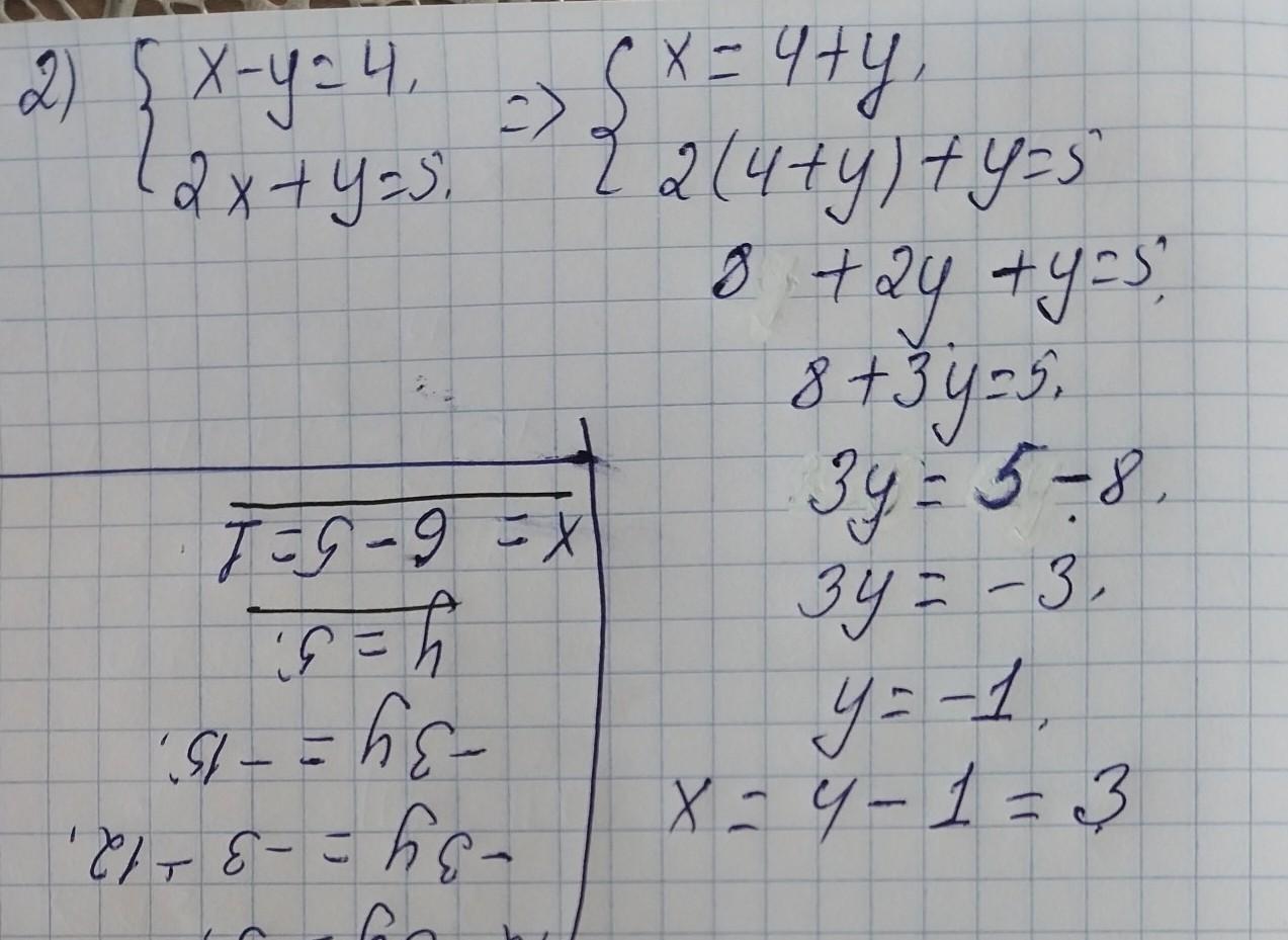
{х - у = 4.
{2х+у=5

Ответы

Ответ дал: aliyegulmaliyeva
0

Ответ:

1)

x = 1  \\ y = 5

2)

x = 3 \\ y =  - 1

Приложения:
Вас заинтересует