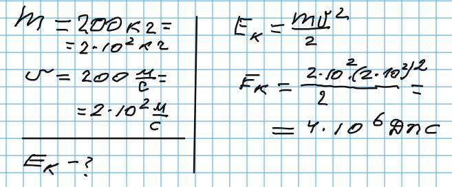
«Сільвер буллет» – один із найменших реактивних літаків. Маючи масу 200 кг, він розвиває швидкість руху близько 200 м/с. Якою є кінетична енергія літака за цієї швидкості?
Ответы
Ответ дал:
6
Відповідь: 4 МДж
Пояснення:
Приложения:

romankits08:
Дуже вдячний
Вас заинтересует
2 года назад
2 года назад
2 года назад
2 года назад
8 лет назад
8 лет назад
9 лет назад