• Предмет: Алгебра
  • Автор: galinaafanaseva123
  • Вопрос задан 7 лет назад

СИСТЕМА УРАВНЕНИЕ СРОЧНО ПОЖАЛУЙСТА!!!!!!!​

Приложения:

Ответы

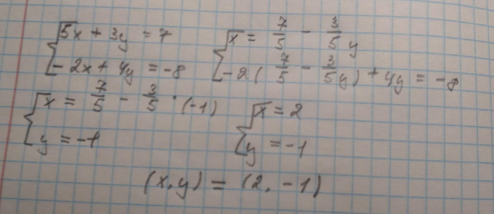
Ответ дал: zhoskr
0

можливо не правильно, а так топчик

Приложения:
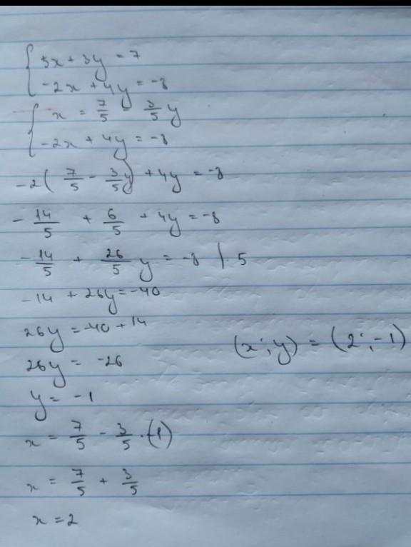
Ответ дал: katyailau4425
0

ЕТО НА 100% правільний атвет.

Приложения:
Вас заинтересует