Ответы
Ответ дал:
1
Ответ:
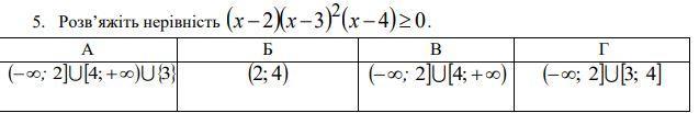
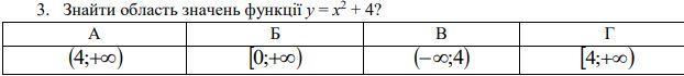
5)а 3)[-4,∞)
Объяснение:
Приложения:

drozdvitalij:
можешь если не трудно розширено написать?
Вас заинтересует
2 года назад
2 года назад
2 года назад
2 года назад
9 лет назад