Ответы
Ответ дал:
3
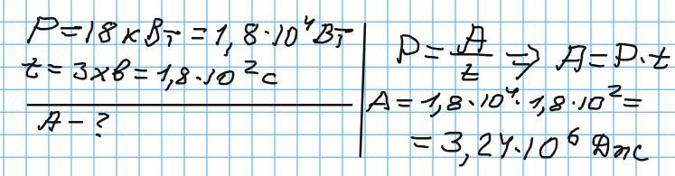
Відповідь: 3,24 МДж
Пояснення:
Приложения:

Ответ дал:
1
Ответ:
Удачи
Объяснение:
P=A:t
A= P*t
A= 1.8**1.8*
A=3.24* Дж=3,24 мДж
Вас заинтересует
2 года назад
2 года назад
2 года назад
8 лет назад