• Предмет: Алгебра
  • Автор: drozdvitalij
  • Вопрос задан 7 лет назад

даю 100 балов, пожалуйсто помогите

Приложения:

Ответы

Ответ дал: Vyseryezno
1

Відповідь:

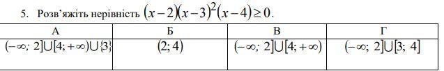
5)а

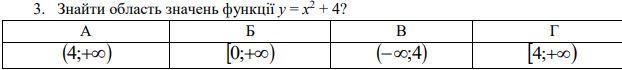
3)г

Пояснення:


drozdvitalij: можешь написать розширено? если да то будет лутший ответ
Ответ дал: zankonastia
0

Ответ:

а/г

Объяснение:

......,..........,......

Вас заинтересует