• Предмет: Математика
  • Автор: nasapopkova29
  • Вопрос задан 7 лет назад

Оюислит прошу вас срочно!!!!!!!

Приложения:

Ответы

Ответ дал: ashatulyadiar
0

Ответ:

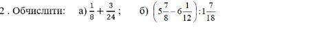
1/8++3/24=3/24+3/24=6/24=1/4

(5 7/8-6 1/12)÷1 7/18=ответ не выйдет

Вас заинтересует