Ответы
Ответ дал:
1
Ответ:
Объяснение:
Приведите уравнение к общему виду, определите коэффициенты a, b и c, затем вставьте их в формулу.
Возведите в степень
Умножьте числа
Сложите числа
Вычислите квадратный корень
Умножьте числа
Чтобы найти неизвестное, разложите уравнение на два: одно – с плюсом, другое – с минусом.
Приложения:

Ответ дал:
0
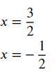
Відповідь:
x1= 1.5; x2= -0.5
Пояснення:
D= b^2-4ac
D= 16+ 48= 64
= 8
x1;2= -b±/ 2a
x1;2= 4±8/8
x1= 1.5
x2= -0.5
Вас заинтересует
2 года назад
2 года назад
8 лет назад
8 лет назад
9 лет назад