Ответы
Ответ дал:
1
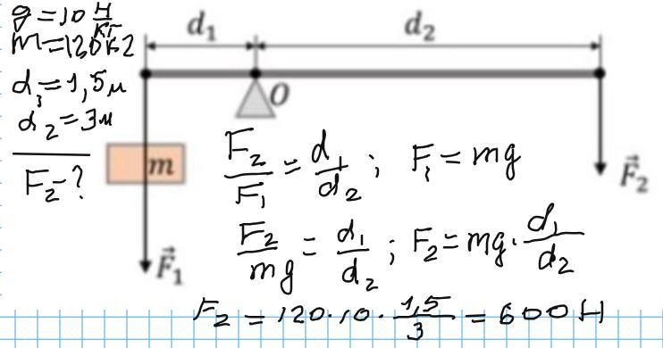
Відповідь: 600 Н
Пояснення:
Приложения:

solka0000:
будь ласка , допоможіть з фізикою (задача про комптонівське заміщення ) , даю максимум балів , якщо можете ,то зразу з виведенням формул і з малюнком , якщо він там потрібен , буду дуже вдячна
Вас заинтересует
2 года назад
2 года назад
2 года назад
2 года назад
8 лет назад
8 лет назад