• Предмет: Алгебра
  • Автор: sonechkaq
  • Вопрос задан 7 лет назад

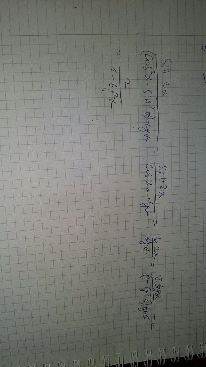
sin2a/cos^2a-sin^2a tga упростите, пожалуйста СРОЧНО НАДО!!!


martimine26: Можешь пожалуйста понятнее написать)(или прислать фото)
sonechkaq: как?

Ответы

Ответ дал: martimine26
1

Ответ:

ответ на фотооооо

Объяснение:

Приложения:
Вас заинтересует