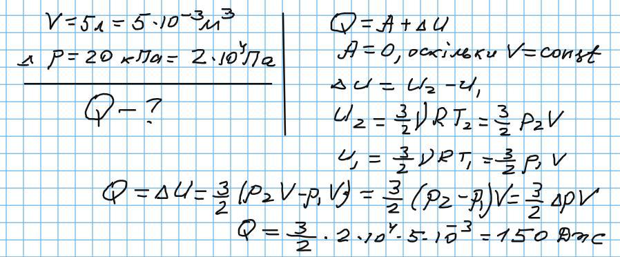
ТЕРМІНОВО одноатомний ідеальний Газ знаходиться у закритій посудині об'ємом 5 л яку кількість теплоти необхідно надати газу щоб підняти його тиск на 20 кПа
Ответы
Ответ дал:
0
Відповідь: 150 Дж
Пояснення:
Приложения:

Вас заинтересует
2 года назад
2 года назад
2 года назад
2 года назад
8 лет назад
8 лет назад
9 лет назад
9 лет назад