• Предмет: Алгебра
  • Автор: warvaler
  • Вопрос задан 7 лет назад

Розв'яжіть рівняння Розв'яжіть рівняння

Приложения:

Ответы

Ответ дал: manyny06
0

Ответ:

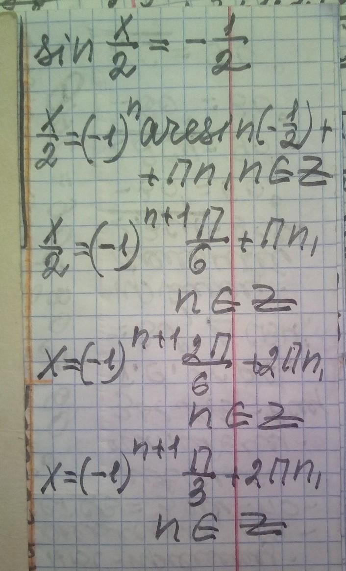
решение смотри на фотографии

Приложения:
Ответ дал: Universalka
0

\displaystyle\bf\\Sin\frac{x}{2} =-\frac{1}{2} \\\\\\\frac{x}{2} =\Big(-1\Big)^{n} arcSin\Big(-\frac{1}{2} \Big)+\pi n,n\in Z\\\\\\\frac{x}{2} =\Big(-1\Big)^{n+1} arc Sin\frac{1}{2} +\pi n,n\in Z\\\\\\\frac{x}{2} =\Big(-1\Big)^{n+1} \frac{\pi }{6} +\pi n,n\in Z\\\\\\\boxed{x=\Big(-1\Big)^{n+1}\frac{\pi }{3} +2\pi n,n\in Z}

Вас заинтересует