Ответы
Ответ дал:
1
Ответ:
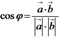
cos(a^b) = 45°
Пошаговое объяснение:
a (4 ; 0)
b (-1 ; 1)
cos(a^b) = (4 × (-1) + 0 × 1) / (√((4^2) + (0^2)) × √((-1^2) + (1^2)) = (-4) / (√16 × √2) = (-4) / (4 × √2) = - 1/√2 = -√2/2 = 45°
Приложения:

Вас заинтересует
2 года назад
2 года назад
2 года назад
8 лет назад
9 лет назад
9 лет назад