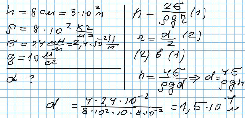
Визначити діаметр пор у гноті гасової лампи, по якому гас піднімається від дна до пальника на висоту 8 cm
Визначити діаметр пор у гноті гасової лампи, по якому гас піднімається від дна до пальника на висоту 8 cm
Ответы
Ответ дал:
1
Відповідь: 0,15 мм
Пояснення:
Приложения:

Вас заинтересует
2 года назад
2 года назад
2 года назад
2 года назад
8 лет назад
8 лет назад
9 лет назад