• Предмет: Геометрия
  • Автор: djsjd
  • Вопрос задан 7 лет назад

Очень Строчно пожалутс

Приложения:

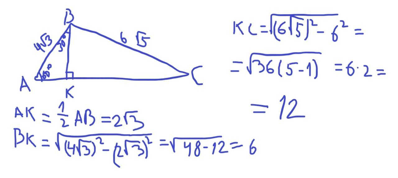
Warlock1: 12
Warlock1: В треугольнике АВК sinA=BK/AB, отсюда находишь, что ВК=6. Потом по т. Пифагора для треугольника ВКС находишь СК, получается 12

Ответы

Ответ дал: ivankostyrin
0

Ответ:12см

Объяснение:

Приложения:
Ответ дал: larisa159
3

Ответ:

12см

Объяснение:

Приложения:
Вас заинтересует