• Предмет: Физика
  • Автор: pupkovv337
  • Вопрос задан 7 лет назад

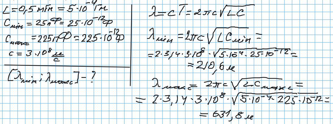
Індуктивність приймального контуру радіоприймача дорівнює 0,5
мГн, а його ємність може змінюватися від 25 до 225 пФ. У якому діапазоні довжин
хвиль може працювати цей радіоприймач?
помогите пожалуйста


zinovicgrigorij: https://znanija.com/task/15337555

Ответы

Ответ дал: zybkov1950
1

Відповідь: від 210,6 до 631,8 м

Пояснення:

Приложения:
Вас заинтересует