Будь ласка, допоможіть ♡
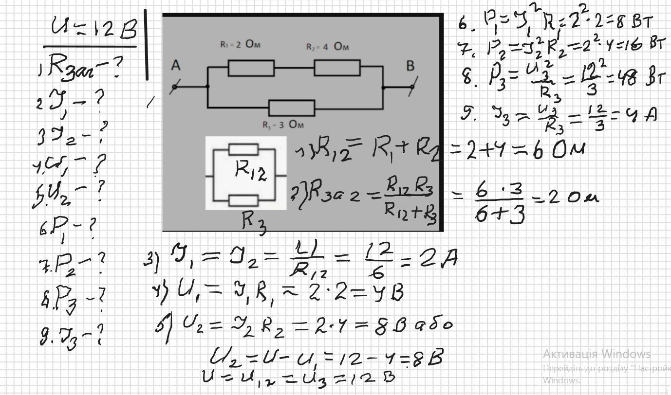
На клеми АВ подано напругу 12 в . Яка потужність виділяється на другому резисторi ?
Варіанти відповідей:
4Вт
6Вт
8Вт
12Вт
16Вт
24Вт
48Вт
72Вт
96Вт
100Вт
Приложения:

Ответы
Ответ дал:
1
Відповідь: 16 Вт
Пояснення: В додатку розв'язання всіх завдань
Приложения:

Вас заинтересует
2 года назад
2 года назад
8 лет назад
9 лет назад