Ответы
Ответ дал:
0
Ответ:
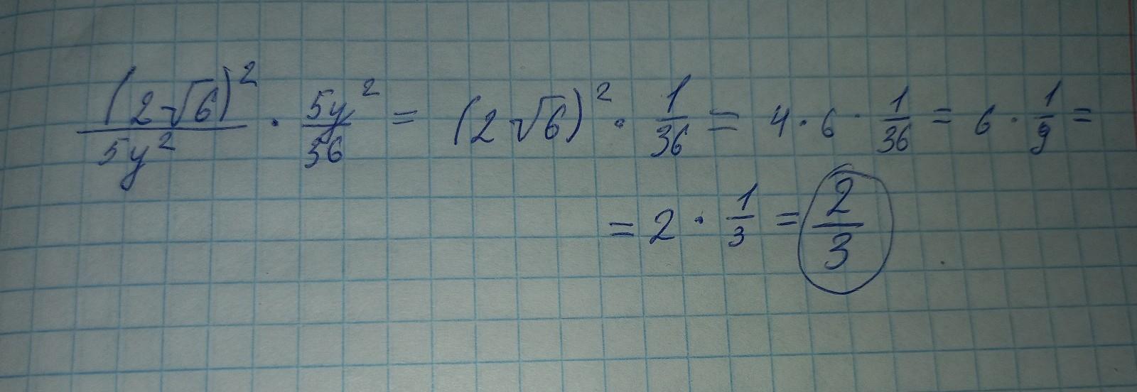
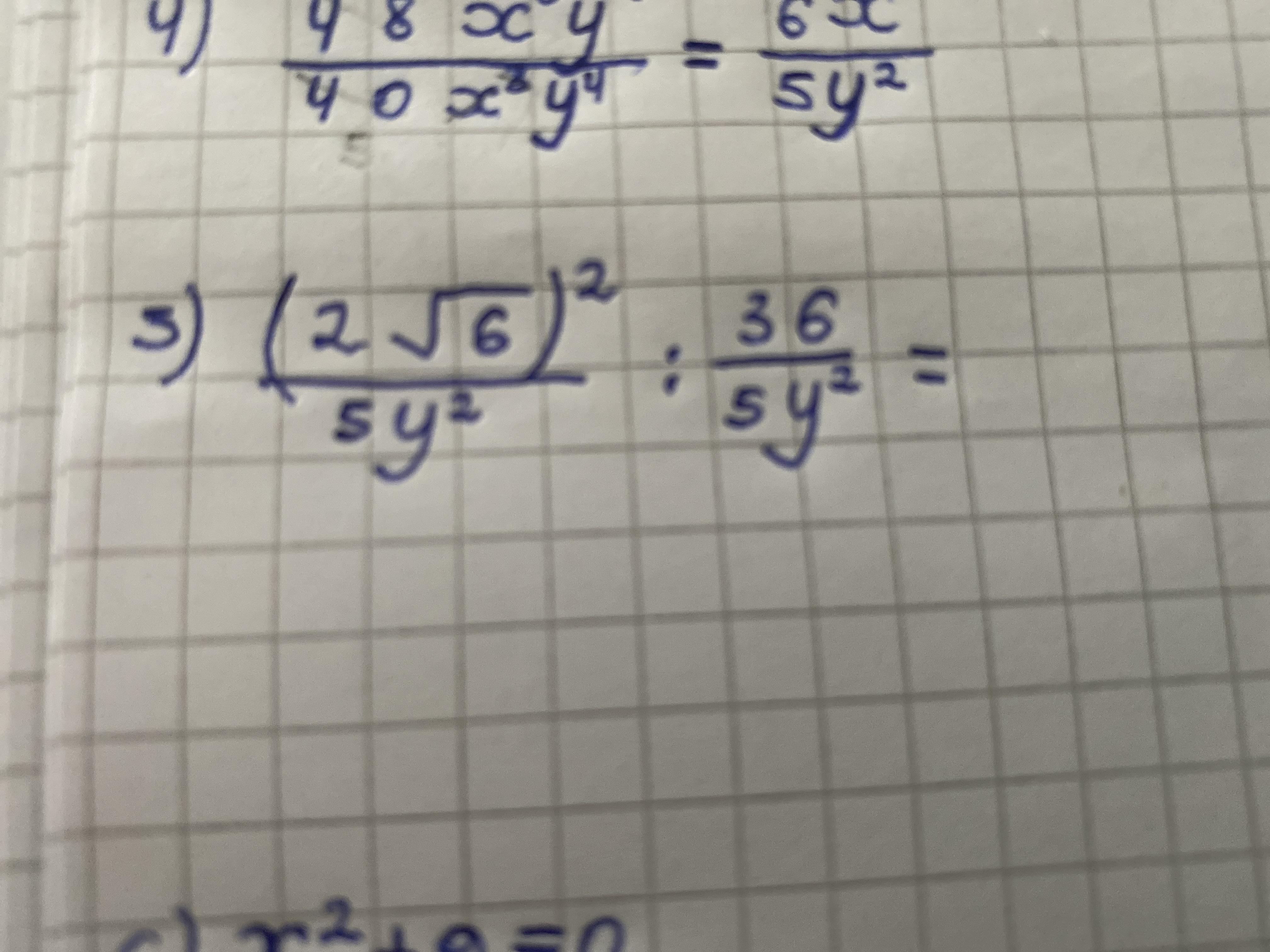
Ответ: 2/3
Пошаговое объяснение:
смотри на прикреплений файл, которий я прикрепила
Приложения:

Вас заинтересует
2 года назад
2 года назад
2 года назад
8 лет назад
8 лет назад
9 лет назад