• Предмет: Физика
  • Автор: frankinstejn443
  • Вопрос задан 7 лет назад

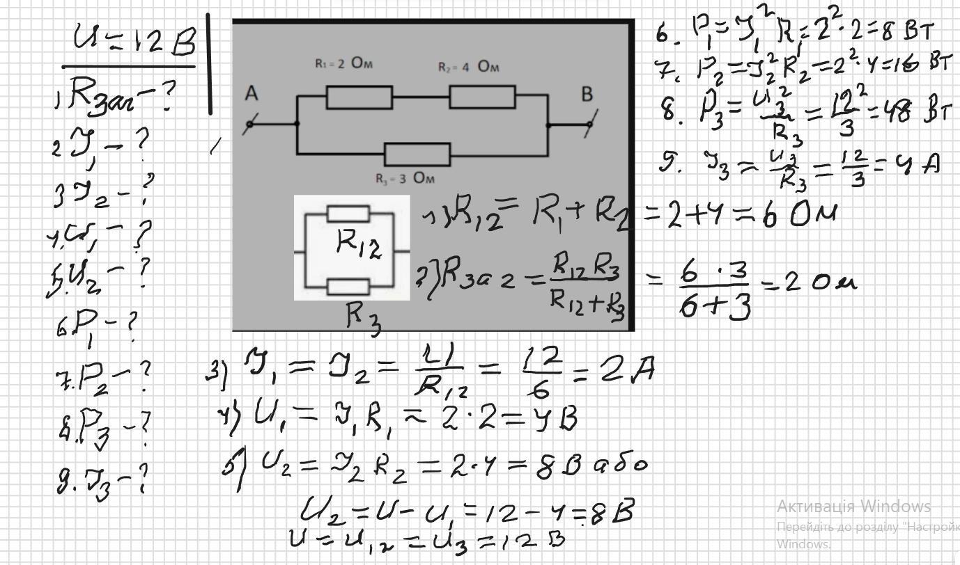
На клеми АB подано напругy 12 B. Яka потужнİсть виделяеться на третьому резисторi ?
Варіанти відповідей:
4Вт
8Вт
12Вт
16Вт
24Вт
48Вт
72Вт
96Вт
100Вт ​

Приложения:

Ответы

Ответ дал: zybkov1950
1

Відповідь: 48 Вт

Пояснення: В додатку розв'язання всіх завдань

Приложения:
Вас заинтересует