• Предмет: Математика
  • Автор: maks351351
  • Вопрос задан 7 лет назад

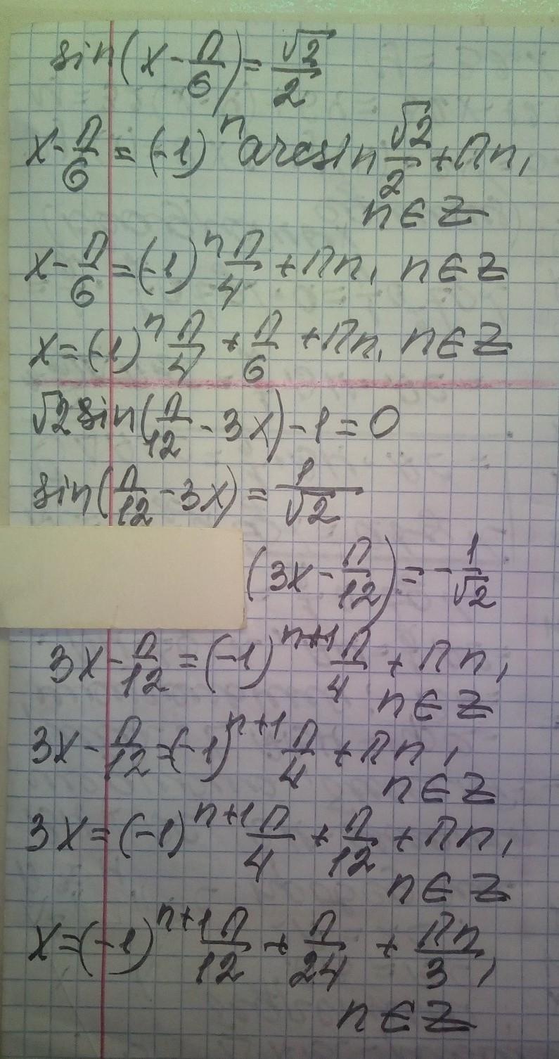
Помогите пожалуйста. Срочно ​

Приложения:

Ответы

Ответ дал: manyny06
1

Ответ:

решение смотри на фотографии

Приложения:

maks351351: Спасибо за помощь. Если есть время помоги из другими заданиями пожалуйста)
Вас заинтересует