• Предмет: Алгебра
  • Автор: batid
  • Вопрос задан 7 лет назад

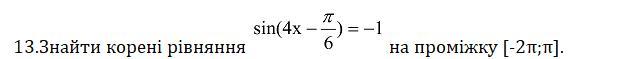
Распишите как нужно записать в тетрадь это для кр нужно

Приложения:

Ответы

Ответ дал: Аноним
2

Відповідь:

Пояснення:

фото

Приложения:
Вас заинтересует