1)При якому значенні x , вектори a(-12;6), b(4,x)
колінеарні; перпендикулярні?
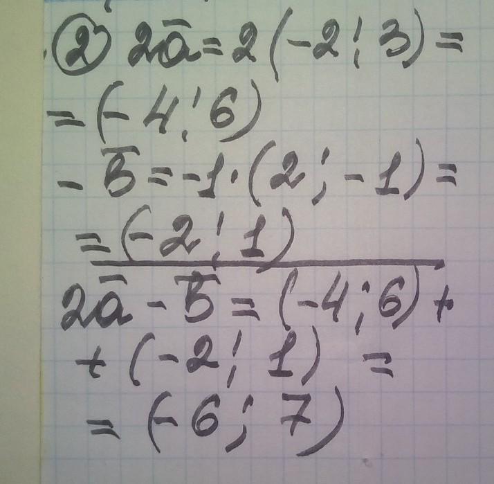
2)Дано вектори a(-2;3), b(2;-1),Знайти 2a-b
Розвяжіть 2 запитання,даю 100 балів,дякую:)
Ответы
Ответ дал:
1
Ответ:
решение смотри на фотографии
Приложения:


Ответ дал:
0
Ответ: решение в фотках
Приложения:


Вас заинтересует
2 года назад
2 года назад
8 лет назад
9 лет назад
9 лет назад