Ответы
Ответ дал:
2
Відповідь:
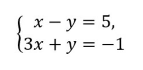
відповідь А(1;-4)
Пояснення:
Приложения:

kimmina7373:
Добрый вечер, не могли бы мне помочь с алгеброй пожалуйста умоляю
Вас заинтересует
2 года назад
2 года назад
2 года назад
8 лет назад
9 лет назад